Views: 0 Author: Site Editor Publish Time: 2025-03-27 Origin: Site
Numerical Simulation of Thermal-deformation of Molds for Low Pressure Die-casting Aluminum Alloy Wheel
WANG Guo1, HUANG Jia-min1, CHEN Zhen-ming2, ZHAO Hai-dong1*
(1. School of Mechanical and Automotive Engineering, South China University of Technology, Guangzhou 510641, China;)
(2. Foshan Nanhai Superband Mould Co., Ltd., Guangdong Foshan 528200, China)
For any reproduction, citation, or commercial use, prior authorization from Superband Mould is required.
Abstract:
The work aims to reveal the rule of mold deformation during low pressure die casting process with numerical simulation and experiment to solve the effect of high-temperature deformation of the mold on the dimensional accuracy of low pressure die casting (LPDC) aluminum alloy wheel.
Method: A numerical model on thermodynamic behavior of the mold during low pressure die casting was established, and a simulation method for casting cycles was proposed. The real-time blue laser inspection verification of low pressure alloy wheel casting was carried out. The mold temperature, stress and deformation rule during low-pressure wheel casting were studied by comparing the simulation and experimental results.
Result: The simulated and measured temperature trends were consistent with each other. The maximum temperatures of the side mold and the bottom mold at the moment of mold opening were 486 ℃ and 512 ℃, respectively. The relative error between the simulated and measured peak temperatures for the side mold was 2%, and the maximum difference between the simulated and measured temperatures for the bottom mold was 23 ℃. The simulation and inspection results showed that the thermal deformation of side mold showed a curvature decreasing trend. There were three deformation regions of small deformation (-0.04–0.16 mm), transition (0.16–0.48 mm), and large deformation (0.48–0.89 mm) on the surface of the cavity of the side mold according to the deformation size. The accuracy of deformation simulation for side mold was about 80%. The bottom mold plane surface was sunk 0.4 mm in the axial direction of the wheel, and its simulation accuracy was about 75%.
Conclusion: The established thermal-deformation simulation method can well describe deformation of aluminum alloy casting molds. The study shows the deformation rule of molds of LPDC aluminum alloy wheel, providing a research basis for the subsequent inverse design of mold deformation to improve dimensional accuracy of alloy wheel .
Keywords: thermal deformation; mold; low pressure die casting; numerical simulation; real-time inspection of blue laser
Low-pressure die casting (LPDC) is the primary forming method for aluminum alloy wheel hubs [1-3]. With wheel size increases, mold dimensions also increase. To achieve rapid cooling and refine the microstructure, cooling channels are typically employed, leading to significant non-uniform temperature distribution in the mold. This exacerbates mold deformation and affects the dimensional accuracy of aluminum alloy wheel. Such deformation and dimensional deviations increase subsequent machining requirements and material waste [4-6]. Therefore, studying the thermal deformation law of LPDC wheel hub molds is crucial for producing dimensionally precise wheel hubs.
Casting is a complex process involving multiple physical fields such as flow, solidification, heat transfer, and stress-strain [7-11]. The heat transfer and stress-strain simulation of castings/molds has attracted great attention from researchers. Yoon etc. [12] completed the numerical simulation of the casting process of AC7A and AC4C aluminum alloy wheels. The results showed that the AC7A and AC4C aluminum alloy wheel castings had similar temperature distributions, but the AC7A wheel had smaller deformation and stress. Song etc. [13] established a two-dimensional slitting-moving transient thermomechanical coupling model for the solidification of wide and thick slab continuous casting shells by combining the characteristics of shell deformation, mold film, and air gap dynamic distribution, and obtained the distribution discipline of air gap and shell deformation. Jayakrishna etc. [14] used nonlinear kinematics and anisotropic plasticity models, combined with creep models, to establish a three-dimensional thermomechanical model to calculate the transient cyclic deformation, residual stress, and plastic failure strain in the funnel-shaped copper mold and cooling water cavity combination. Anglada etc. [15] proposed a method to predict the final size of die castings based on thermomechanical simulation, and used 3D scanning to obtain the size of the actual casting at room temperature in the form of point cloud, completing the verification of casting deformation prediction. In summary, although researchers have carried out a lot of work on the numerical calculation of casting mold and casting deformation, due to the difficulty in real-time measurement of high-temperature mold deformation, there are few verification studies on the prediction of high-temperature mold deformation in casting.
Aiming at the low-pressure casting process of aluminum alloy wheels, this paper established a mathematical model to describe its thermodynamic behavior and a calculation method for the multi-cycle casting process. It completed the real-time blue light scanning of the mold deformation during the low-pressure casting process, verified and analyzed the simulation results, and discussed the deformation law of the low-pressure casting mold of aluminum wheels.
1 Experimental
1.1 Low pressure casting
The wheel material is A356.2 (AlSi7Mg) cast aluminum alloy, and its chemical composition is shown in Table 1. The schematic diagram of the LPDC wheel mold is shown in Figure 1a. The lower mold and upper mold are H13 steel, and the side mold is 42CrMo steel. The side mold consists of 4 molds, which are assembled into a complete hub circumferential structure during casting. The temperature changes of the sampling points of the lower mold and the side mold are measured using K-type thermocouples (diameter 0.5 mm) and CoMo Injection high-precision data acquisition system (Kistler, Switzerland), and their positions are shown in Figure 1b. A set of 3 adjacent thermocouples is set at each sampling point, and the thermocouples are fixed to the mold by bolts. The distance between the thermocouple temperature measurement position and each interface (casting/lower mold, casting/side mold, casting/upper mold) is 2 mm. The ATOS Ⅲ Triple Scan 8M (GOM GmbH, Germany) blue light scanning device was used to perform real-time scanning and detection of the mold after the casting mold was opened, with a detection resolution of 0.01 mm. The Free Gom inspect software was used to analyze the scanning dimensions at high temperature to obtain the real-time deformation of the mold during the low-pressure casting process.
Tab.1 Chemical composition of A356.2 aluminum alloy wheel castings wt.%
Si | Mg | Ti | Fe | Cu | Zn | Mn | Sr | Al |
7.12 | 0.530 | 0.120 | 0.158 | 0.0042 | 0.014 | 0.0020 | 0.013 | Bal. |
1.2 High-temperature tensile test of 42CrMo steel
The working temperature range of aluminum alloy wheel hub mold is 100~550℃. The stress-strain relationship at different temperatures is crucial to mold deformation. For the experimental wheel hub mold material, the constitutive relationship of H13 steel at different temperatures was determined by using the data listed in the study of Qayyum et al. [16]. The constitutive relationship of the side mold 42CrMo steel was obtained through tensile tests at different temperatures. The tensile test was carried out at 75, 175, 275, 375, 475, and 575℃ using a Gleeble-1500 thermal/mechanical simulation test machine. The diameter of the tensile specimen was 6 mm and the length of the gauge section was 42 mm. The tensile specimen had connecting threads at both ends. Its shape and size are shown in Figure 1d and Figure 1e, which conform to GB/T 4338-2006 [17]. The tensile strain rate was 2.5×10-3 s-1, the total deformation was controlled at about 5%, and the tensile test was repeated more than 3 times at each of the above temperatures to ensure the accuracy and repeatability of the tensile data.
2 Numerical simulation
2.1 Temperature field simulation
Multi-cycle LPDC casting includes basic cyclic processes such as filling, solidification and mold opening. The direct finite difference method (FDM) is used to numerically simulate the filling process. The momentum conservation, mass conservation and energy conservation formulas in the filling process are shown in equations (1) to (3) [18].

Where: t is time; Δt is the time step; ρL is the liquid density; β is the dimensionless element distance; μ is the liquid velocity; Mc, Mν, Mg and Mp are the momentum terms of convection, viscosity, gravity and pressure respectively; S is the surface area of the unit; k is the number of the six faces of the unit; V is the unit volume; i is the unit number; n is the flow direction index; cp is the specific heat capacity at constant pressure; Ri,k is the thermal resistance between the i unit and the adjacent unit k; Tit is the temperature of the i unit; Tit,k is the temperature of the adjacent unit k. For details of the equation, please refer to reference [18]. Solving the temperature field during the solidification process of the casting is a transient problem, which can be expressed by equation (4) [19-20].

In the formula: T is temperature, ℃; t is time, s; ρ(T) is the material density that changes with temperature, kg/m3; c(T) is the specific heat capacity that changes with temperature, J/(kg·℃); k(T) is the thermal conductivity that changes with temperature, W/(m·℃); L is the latent heat of solidification, W/m3; gs is the solid phase fraction, %.
When solving the heat transfer problem in the mold opening process, it involves the convection heat transfer between the mold cavity and the air and the radiation heat transfer between the mold cavity and the environment. In order to facilitate the description of the heat transfer behavior between the mold cavity and the environment during the mold opening process, a comprehensive interface heat transfer coefficient (IHTC) h is introduced to solve the heat transfer problem, as shown in formula (5).
q = h (Te -Tmold ) (5)
Where: q is the heat flux, W/m2; Te is the ambient temperature, ℃; Tmold is the mold cavity temperature, ℃.
The temperature field calculation is performed in the casting software ICAST Beta (development version). The actual LPDC is a continuous multi-mode process. The temperature of the mold can only be stable after several modes. Therefore, it is necessary to perform multi-mode cycle calculation to obtain a stable mold cycle temperature field. Since the calculation time required for the simulated filling process is long, but the actual filling process takes a short time, the mold temperature change during the cycle has little effect on the temperature distribution of the aluminum liquid after filling. Therefore, the simulation calculation method of the aluminum alloy LPDC cycle process shown in Figure 2 is proposed. In the first mode, the complete temperature field of the three stages of "filling-solidification-opening" is calculated. Starting from the second mode, only the temperature field of the two stages of solidification and opening is calculated until the set target mode is reached. In the calculation of the first mode, the temperature of the casting unit after the filling is completed is recorded. In the subsequent cycle solidification calculation, the mold temperature data is updated and the temperature of the casting unit is set to the temperature after the first mold filling is completed.

Fig.1 Schematic diagram of wheel LPDC experiment and 42CrMo high temperature tensile specimen: a) LPDC wheel mold structure; b) schematic of temperature measurement location; c) real-time inspection of thermal deformation with blue laser; d) 42CrMo tensile specimen; e) specimen dimension

Fig.2 Schematic diagram of multi-mold cycle for low pressure casting
Meshing, boundary conditions and calculation parameters are set in the preprocessing module. After meshing, the total number of hexahedral meshes of the model is 892 800, the number of side mold nodes is 47 899, and the number of lower mold nodes is 57 468. The physical parameters used in the temperature field simulation are shown in Table 2. During the temperature field calculation process, the temperature field data of the side mold and lower mold are output every 5 s.
2.2 Stress-strain simulation
The mold thermal deformation simulation is based on the thermoelastic-plastic model. According to the plasticity increment theory, it is assumed that the material strain increment in the time step is as shown in Equation (6) [15,21-22].
dε = dεel + dεpl + dεth (6)
Where: dε is the total strain increment; dεel is the elastic strain increment that conforms to the generalized Hooke's law; dεpl is the plastic strain increment that conforms to the flow criterion, as shown in formula (7), and its corresponding stress conforms to the Von Mises yield criterion; dεth is the thermal strain increment caused by temperature load, as shown in formula (8).

In the formula: λpl is the proportionality coefficient; Q is the plastic potential; σ is the stress; α is the equivalent thermal expansion coefficient at temperature T.
Based on the finite element software ANSYS, the temperature field results are used as loads to calculate the stress and deformation of the mold. The inverse distance weighted (IDW) interpolation algorithm [23-25] is used to realize the temperature field conversion from FDM to FEM. The basic idea of the IDW interpolation algorithm is to assume that the attribute value of the unsampled node is the weighted average of the known values in the neighborhood. For detailed algorithm, please refer to the literature [26].
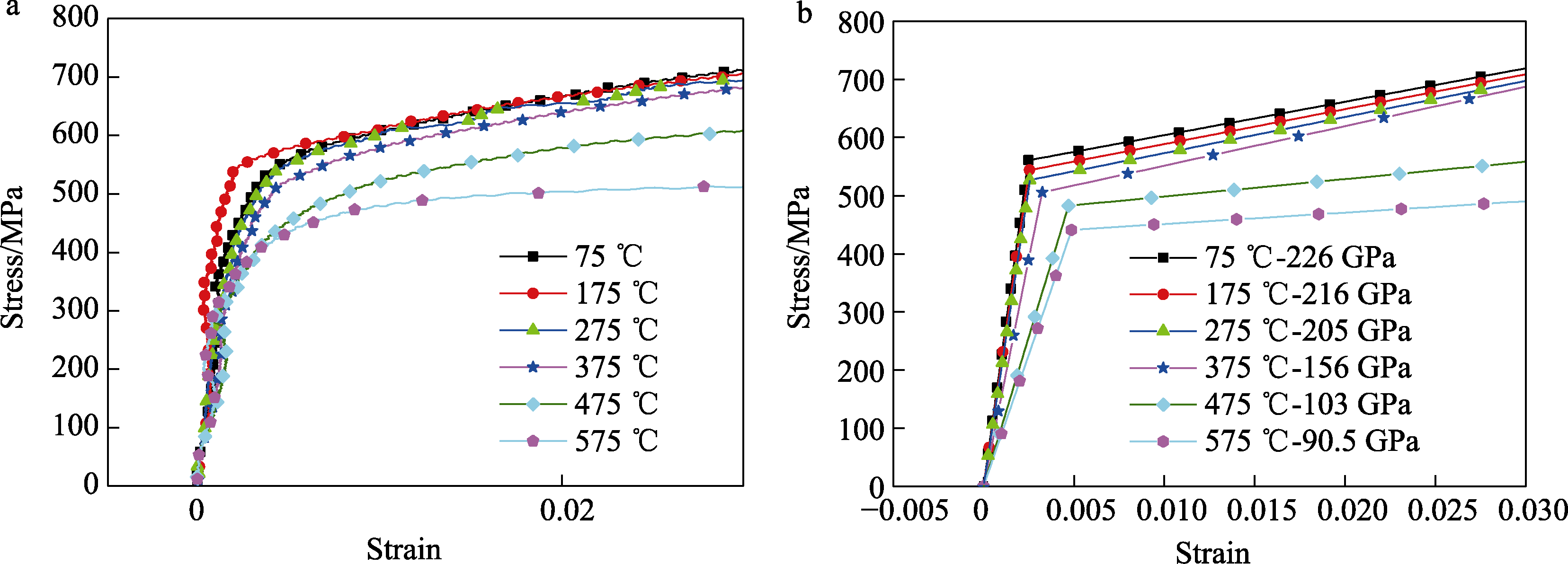
The true stress-strain curves of 42CrMo steel at different temperatures are shown in Figure 3a. The true stress-strain curve is fitted and simplified into two parts, as shown in Figure 3b, namely the elastic part and the plastic part, for mold thermal deformation simulation. The stress-strain relationship of the lower mold H13 steel adopts the data in the literature [16], and the curve is also fitted and simplified into two parts: elastic and plastic. The material performance parameters used in the thermal deformation calculation are shown in Table 3.
Tab.2 Physical properties of materials
Materials | Density/ (kg·m-3) | Specific heat capacity/ (J·kg-1·℃-1) | Thermal conductivity/ (W·m-1·℃-1) | The initial temperature/℃ | Liquidus temperature/℃ | Solidus temperature/℃ | Latent heat/ (kJ·kg-1) |
A356.2 | 2 700 | 900 | 200 | 700 | 613 | 557 | 430.518 |
H13 | 7 850 | 665 | 20 | 400 | — | — | — |
42CrMo | 7 730 | 680 | 40 | 400 |

Fig.3 True stress-strain curve (a) of 42CrMo steel and its elastic-plastic curve (b) after fitting the simplified true stress-strain curve
In order to adapt to the complex geometric structure of the mold and ensure the calculation accuracy, the second-order tetrahedral element (SOLID187) is selected for meshing. After the meshing, the number of nodes of the side mold is 86,833, and the number of nodes of the lower mold is 184,494. The displacement of the bottom surface of the side mold and the lower mold in the z-axis direction is set to 0; at room temperature, there is a gap on the 45° plane on both sides of the side mold, so there is no boundary constraint condition set for this surface. Since the elastic modulus of aluminum alloy during solidification is much smaller than that of mold steel, the contact surface between the mold and the casting is set to be able to deform freely.
Tab.3 Material physical parameters of mold used in ther-mal deformation simulation
Material | Tempera- ture/℃ | Elastic modulus/ GPa | Thermal expansion coefficient/ (10-6 K-1) | Poisson’s ratio | |
H13 | 0 200 300 400 500 600 | 210 190 185 180 160 145 | 10.5 12 13 13.5 15 14 | 0.3 | |
42CrMo | 75 175 275 375 475 575 | 226 216 205 156 103 90.5 | 11 12 12 14 14.5 13.5 | 0.3 | |

3 Results and discussion
3.1 Temperature field
The temperature field calculation results of the casting and mold during the LPDC hub casting process are shown in Figure 4. As the A356.2 aluminum liquid fills the cavity, the temperature gradient of the casting gradually increases. When the filling is completed (13.2 s), the lowest temperature of the casting is 652.5 ℃. During the solidification process, the upper edge of the rim is far away from the bottom central gate, and the cooling rate is fast. The casting shows a solidification order from top to bottom. At the mold opening moment (265 s), the highest temperature of the hub casting is 521 ℃, and all node temperatures are lower than the solidus temperature. The casting has been completely solidified. As shown in Figures 4d and 4e, the highest temperatures of the side mold and the lower mold at the mold opening moment are 486 ℃ and 512 ℃, respectively.

Fig.4 Temperature field simulation results:
a) temperature fields of the casting at the beginning of the filling (10 s); b) temperature fields of the casting at the end of the filling (13.2 s); c) temperature fields of the casting at the moment of the mold opening (265 s); d) temperature fields of the lateral mold and at the moment of the mold opening; e) temperature fields of the bottom mold and at at the moment of the mold opening
The calculated temperature curves of the three sampling points N1~N3 over 10 cycles are shown in Figure 5a. As the number of cycles increases, the mold temperature peak continues to rise, and after 5 cycles, the mold temperature at the beginning and end of the cycle is basically the same, proving that the temperature begins to stabilize. The simulated temperature and measured temperature of N1 and N2 in the 8th cycle after the temperature stabilizes in Figure 5a are compared, and the results are shown in Figures 5b and 5c. It can be seen that the change trend of the simulated temperature is basically consistent with the measured temperature (Exp). For the area near the casting/side mold interface (N1), the relative error between the simulated and measured temperature peaks is 2%. Due to the many factors affecting the casting process, the simulation result and the measured error of less than 3% are generally considered to be in good agreement [27]. However, when a single casting process is completed, the temperature of the lower mold N2 differs from the measured temperature by 23 °C. The reason may be that the lower mold is installed on the mold bottom plate. In the actual casting process, the lower mold transfers heat to the bottom plate, and the bottom plate transfers heat to the low-pressure casting machine frame. The above heat transfer is not considered in the simulation process, so the simulation results overestimate the temperature at this point.

Fig.5 Validation of calculated temperature:
a) simulated temperature evolution at points N1, N2, and N3; b); calculated and measured temperature curves of point N1; c) calculated and measured temperature curves of point N2
3.2 Calculation results and verification of mold deformation
The mold stress distribution at 250 s (15 s before mold opening), 265 s (mold opening time) and 296 s (before mold closing) is shown in Figure 6. It can be seen that the stress distribution of the three is similar. After mold opening, the mold cavity temperature decreases, the temperature difference of each part gradually decreases, the mold gradually shrinks evenly, and the overall stress decreases. The maximum stress of the side mold appears at the sharp corner where the water-cooled insert contacts the side mold, because the temperature difference is large and the structural rigidity is low. The stress at the lower mold boss and the outer edge of the boss is small, and the stress between the bosses is large.

Fig.6 Simulated stress distribution of the lateral mold and the bottom mold:
a) 250 s; b) 265 s; and c) 295 s for the lateral mold; d) 250 s; e) 265 s; f) 295 s for the bottom mold
The deformation simulation results of the side mold at 250 s (solidification process), 265 s (mold opening moment) and 295 s (mold closing moment) are shown in Figures 7a~c respectively. It can be seen that the deformation rules at the three moments are similar, showing that the deformation in the middle of the cavity surface is small, the deformation at the edge of the surface is large, and the deformation on both sides is approximately symmetrically distributed. The deformation amounts of the three are 0.098~1.28, 0.15~1.20, and 0.096~1.12 mm respectively. The white line in Figure 7c is the outer contour line of the original geometric model of the side mold, in which the side mold edge position circled by the elliptical line frame has obvious outward deviation deformation. Combining the positions of points 1 to 3 in Figure 7d and the deformation curves of the three points in Figure 7e over time, it can be seen that during the entire casting process, the deformation of points 3, 2 and 1 gradually decreases, that is, the side mold shows a trend of greater deformation and smaller curvature as it approaches the edge, and the thickness of the corresponding part of the formed hub will increase.

Fig.7 Calculated deformation of lateral mold: a) 250 s; b) 265 s; c) 296 s; d) location of points 1-3; e) calculated deformation evolution at points 1-3
The simulated deformation of each node along the radial direction of the hub is obtained by converting Cartesian coordinates to polar coordinates, as shown in Figure 8a. The actual deformation result of the mold obtained by high-precision blue light real-time scanning is shown in Figure 8b, where the deformation direction is the normal direction of each surface. According to the radial deformation simulation results in Figure 8a, the cavity surface is divided into three deformation zones: small deformation zone I is located in the center of the cavity; zone II is the transition zone; and large deformation zone III is located near the edge of the cavity. On the one hand, the temperature of zone I on the cavity surface is the highest (see Figure 4d), and the thermal expansion effect causes zone I to deviate radially from the center of the hub (outward), which makes the cavity larger; on the other hand, because the overall deformation shows the law of decreasing curvature, under the deformation coordination, the outward deformation of zone III of the hub will cause zone I to deform inward, and finally lead to the smallest radial deformation of zone I, with a deformation of -0.04~0.16 mm, which is the result of the coordinated action of thermal expansion and deformation. The radial deformation of the surface of region III is the largest, which is 0.48~0.89 mm (outward). Region II is the deformation transition zone between region I and region III on the cavity surface, with a deformation of 0.16~0.48 mm (outward). Corresponding to the real-time scanning results in Figure 8b, the deformation value of region I is -0.02~0.23 mm, the deformation value of region II is 0.23~0.372 mm, and the deformation value of edge region III is 0.372~0.714 mm. This shows that the actual deformation of the side mold cavity also shows a trend of deviating from the center of the hub and decreasing curvature, which is consistent with the simulation results. The quantitative comparison results of the two show that the thermal deformation simulation accuracy is about 80%, which is comparable to that reported in the literature [15]. Therefore, the model and calculation method established in this paper can effectively calculate the thermal deformation of aluminum alloy casting.

Fig.8 Deformation verification of lateral mold: a) calculated radial deformation; b) radial deformation measured by laser inspection.
The deformation distribution of the lower mold in the z direction at the mold opening time of 265 s is shown in Figure 9a and Figure 9b. Since the blue light scanning measurement was blocked by the side mold at 265 s (see Figure 1c), only the deformation results of most of the lower mold cavity surface were obtained, as shown in Figure 9c. The simulation results show that the positive deformation of the upper surface of the boss relative to the lower mold plane in the z direction exceeds 0.56 mm. The blue light scanning results show that the lower mold plane sinks 0.4 mm relative to the upper surface of the boss. The comparison between the two shows that the deformation simulation accuracy is 75%. Figure 9b shows that the side of the oblique side of the boss facing the hub axis (inward) has a smaller deformation, and the side facing outward has a larger deformation. Figure 9c shows that the actual deformation of the side of the boss has the same deformation trend as the simulated deformation.

Fig.9 Calculated deformation of bottom mold and its validation: a) z-direction deformation distribution; b) total deformation distribution; c) deformation distribution measured by laser inspection.
4 Conclusions
A mathematical model that can describe the thermodynamic behavior of aluminum alloy molds during low-pressure casting was established, and a method for calculating the temperature field of multi-cycle casting was proposed. The actual low-pressure casting aluminum alloy wheel hub was simulated and applied; the real-time blue light scanning of mold deformation during low-pressure casting was completed, and the temperature and deformation simulation results were verified and analyzed. The results show that the established method can effectively calculate the thermal deformation of aluminum alloy casting. The low-pressure casting wheel hub mold deformation simulation and experimental results show that the closer to the edge, the greater the side mold deformation, showing a trend of decreasing curvature, and the formed wheel hub corresponding to the side mold edge will be thicker; the lower mold plane sinks, and the thickness of the formed wheel increases.
Reference:
[1] LOU Hua-shan, WANG Da-hong, LOU Jiang-yan, et al. Progress in Research on Developing Automobile A356 Aluminum Alloy Wheel-enhanced Treatment of Wheel Forming[J]. Special Casting & Nonferrous Alloys, 2020, 40(6): 619-622.
[2] QIN Peng. Die Design and the Performance Test of Many Spokes Aluminum Alloy Hub Forming by Low Pressure Casting[D]. Qinhuangdao: Yanshan University, 2018: 1-6.
[3] HU Meng-da. Research on the Power Casting Technology of Aluminum Alloy Wheel[D]. Qinhuangdao: Yanshan University, 2018: 1-5.
[4] CAMPBELL J. Complete Casting Handbook: Metal Casting Processes, Metallurgy, Techniques and Design[M]. Oxford: Butterworth-Heinemann, 2015
[5] KUMAR P, SINGH R, AHUJA I P S. Investigations on Dimensional Accuracy of the Components Prepared by Hybrid Investment Casting[J]. Journal of Manufacturing Processes, 2015, 20: 525-533.
[6] CAMPATELLI G, SCIPPA A. A Heuristic Approach to Meet Geometric Tolerance in High Pressure Die Casting[J]. Simulation Modelling Practice and Theory, 2012,22: 109-122.
[7] KOPILA P, BARMAN M, BABU P M. Simulation of Liquid & Solid Metal Regions in a Continuous Casting Process Using COMSOL Multiphysics[J/OL]. Materials Today: Proceedings, 2023, [2023-01 14]. https://linkinghub.elsevier.com/retrieve/pii/S2214785323024914.
[8] JIANG J, NING G E, HUANG M, et al. Numerical Simulation of Squeeze Casting of Aluminum Alloy Flywheel Housing with Large Wall Thickness Difference and Complex Shape[J]. Transactions of Nonferrous Metals Society of China, 2023, 33(5): 1345-1360
[9] DONG G, LI S, MA S, et al. Process Optimization of A356 Aluminum Alloy Wheel Hub Fabricated by Low-Pressure Die Casting with Simulation and Experimental Coupling Methods[J]. Journal of Materials Research and Technology, 2023, 24: 3118-3132
[10] WANG J, ZUO Y, ZHU Q, et al. Numerical Simulation of the Flow Field and Temperature Field in Direct-Chill Casting of 2024 Aluminum Alloy under the Influence of Intensive Melt Shearing[J]. Journal of Materials Research and Technology, 2023, 22: 1491-1504
[11] ŠABÍK V, FUTÁŠ P, PRIBULOVÁ A. Failure Analysis of a Clutch Wheel for Wind Turbines with the Use of Casting Process Simulation[J]. Engineering Failure Analysis, 2022, 135: 106159
[12] YOON H S, CHOI J S, OH Y K. Thermal Deformation of Aluminum Alloy Casting Materials for Tire Mold by Numerical Analysis[J]. Transactions of Nonferrous Metals Society of China, 2012, 22: s859-s863.
[13] SONG J, CAI Z, PIAO F, et al. Heat Transfer and Deformation Behavior of Shell Solidification in Wide and Thick Slab Continuous Casting Mold[J]. Journal of Iron and Steel Research, International, 2014, 21: 1-9.
[14] JAYAKRISHNA P, CHAKRABORTY S, GANGULY S, et al. Computational Investigation of the Transient Cyclic Thermal Distortion of Funnel Shaped Mould in Thin Slab Continuous Casting Process[J]. Thermal Science and Engineering Progress, 2022, 36: 101508.
[15] ANGLADA E, MELÉNDEZ A, VICARIO I, et al. Prediction and Validation of Shape Distortions in the Simulation of High Pressure Die Casting[J]. Journal of Manufacturing Processes, 2018, 33: 228-237
[16] QAYYUM F, KAMRAN A, ALI A, et al. 3D Numerical Simulation of Thermal Fatigue Damage in Wedge Specimen of AISI H13 Tool Steel[J]. Engineering Fracture Mechanics, 2017, 180: 240-253.
[17] GB/T 4338-2006, High-temperature Tensile Test Method for Metallic Materials[S].
[18] ZHAO H D, WANG F, LI Y Y, et al. Experimental and Numerical Analysis of Gas Entrapment Defects in Plate ADC12 Die Castings[J]. Journal of Materials Processing Technology, 2009, 209(9): 4537-4542.
[19] KERMANPUR A, MAHMOUDi S, HAJIPOUR A. Numerical Simulation of Metal Flow and Solidification in the Multi-Cavity Casting Moulds of Automotive Components[J]. Journal of Materials Processing Technology, 2008, 206(1/2/3): 62-68
[20] PRABHAKAR A, PAPANIKOLAOU M, SALONITIS K, et al. Sand Casting of Sheet Lead: Numerical Simulation of Metal Flow and Solidification[J]. The International Journal of Advanced Manufacturing Technology, 2020, 106(1): 177-189.
[21] LEWIS R W, HAN Z Q, GETHIN D T. Three- Dimension Finite Element Model for Metal Displacement and Heat Transfer in Squeeze Casting Processes[J]. Comptes Rendus Mecanique, 2017, 335(5): 287-294.
[22] POSTEK E W, LEWIS R W, GETHIN D T. Finite Element Modeling of the Squeeze Casting Process[J]. International Journal of Numerical Method for Heat & Fluid Flow, 2008, 18(3/4): 325-355.
[23] LU G Y, WONG D W. An Adaptive Inverse-Distance Weighting Spatial Interpolation Technique[J]. Computers and Geosciences, 2008, 34(9): 1044-1055
[24] WITTEVEEN A S. Explicit and Robust Inverse Distance Weighting Mesh Deformation for CFD[J]. European Neuropsychopharmacology, 2013, 6(2): 98-98
[25] SI H M, CHO C, KWAHK S Y. A Hybrid Method for Casting Process Simulation by Combining FDM and FEM with an Efficient Data Conversion Algorithm[J]. Journal of Materials Processing Technology, 2003, 133(3): 311-321
[26] WANG Zi-chao. Simulation Study on Thermal Cycle, Stress and Fatigue of Aluminum Alloy Die-Casting Dies[D]. Guangzhou: South China University of Science and Technology, 2021: 42-43.
[27] LIN J H, ZHAO H D, HUANG J M. Spatial Interfacial Heat Transfer and Surface Characteristics during Gravity Casting of A356 Alloy[J]. Transactions of Nonferrous Metals Society of China, 2019, 29(1): 43-50.
