Views: 0 Author: Site Editor Publish Time: 2025-09-25 Origin: Site
Fu Jiapan1, Zhao Haidong1, Jian Weiwen2, Yang Yidong2, Huang Yi2, Yin Zhihua2 (1. National Research Center for Near-Net Shape Engineering Technology of Metal Materials, South China University of Technology; 2. Foshan Nanhai Superband Mould Co., Ltd.)
A new calculation model for the changes in cavity pressure during vacuum die casting is established. This model takes into account the effects of mold leakage on cavity pressure
during actual vacuum pumping. The reliability of the model is verified by fitting measured cavity pressure data. Furthermore, the effects of vacuum pumping efficiency and mold sealing on cavity pressure are explored, and a method for evaluating the vacuum system's vacuuming capacity and mold sealing performance is developed.
Die casting is widely used in the production of parts for communications, automobiles, etc. During the die-casting process, the molten metal fills the mold quickly under high pressure, generating strong turbulence. The gas in the cavity does not have time to be discharged and is drawn into the high-speed flowing molten metal, forming pores. The vacuum die-casting method is to extract the gas in the cavity before the melt is filled into the mold, so as to reduce or eliminate gas-induced defects and improve the intrinsic quality of the casting. With the continuous improvement of the quality requirements of die-casting parts in the fields of communications and automobiles and the advancement of vacuum die-casting technology, the application of vacuum die-casting is becoming more and more common. The vacuum degree of the mold cavity in vacuum die-casting has a great influence on the quality of the casting, and the cavity pressure is usually used to evaluate the vacuum degree of the mold cavity. The smaller the cavity pressure, the higher the vacuum degree. The establishment of an effective vacuum diecasting cavity pressure calculation model is of great significance to the production practice of vacuum die-casting.
Domestic and foreign researchers have conducted a lot of research in this area [1-7]. Hu Bo etc. [3,4] proposed a calculation formula for the vacuum pressure of the mold cavity during the vacuum pump directly evacuating the mold cavity, and verified the feasibility of this calculation method through experiments. They studied the influence of different exhaust valves and mold sealing processes on the actual vacuum pressure of the mold cavity. Pan Huan [5] established a calculation model for the vacuum tank to evacuate the mold cavity based on the basic principles of vacuum pipeline design, and used the empirical formula to calculate the vacuum pipeline conductance, thereby calculating the mold pressure.The relationship between cavity vacuum pressure and time. Based on the principle of gas dynamics , Wu Mingfang et al. [6] considered the influence of the punch forward movement on the cavity gas pressure, discretized the vacuuming process, and performed numerical solutions. WANG L H et al. [8,9] simplified the process of cavity gas pressure change during the injection process, ignored the influence of heat transfer on gas pressure, and at the same time, equivalently regarded mold leakage as a pipe of fixed size, established a corresponding mathematical model, and performed numerical solutions. They also conducted experimental studies on the influence of exhaust valve shape and gap on vacuuming efficiency.
During the vacuuming process, the flow of gas is extremely complex, and there are many factors that affect the cavity gas pressure. Among them, leakage at the mold parting surface, ejector pin, etc. has an important influence on the cavity pressure. In previous studies, the cavity pressure calculation considering mold leakage mostly adopted numerical solution methods, which is difficult to promote and apply in actual production. With the popularization of vacuum die casting, it is urgent to propose a practical calculation method. At present, in the vacuum system used in actual production, a negative pressure tank is often connected to the cavity to improve the vacuuming efficiency and stability. This study aimed at this process, taking into account the influence of mold leakage, established a cavity pressure calculation model, and carried out cold injection tests using actual vacuum molds to verify the reliability of the calculation method, providing a basis for the calculation of vacuum die.
1 Mathematical model of vacuum process
1.1 Existing computational models
When gas passes through a pipeline, the relationship between the flow rate and the pressure at both ends of the pipeline can be Expressed as:
Q =C(P1 -P2) (1)
Where Q is the gas flow rate, (Pa·L)/s; C is the proportional coefficient, called the conductance of the pipeline, L/s; P1 and P2 are the pressures at the pipeline inlet and outlet, respectively, in Pa. For the calculation method of conductance, see references [10, 11]. During vacuum die casting, when the vacuum pump directly evacuates the mold cavity [3, 10], the change pattern of the vacuum pressure in the mold cavity over time is:


Where Pc is the actual cavity pressure, Pa; Se is the effective pumping speed of the vacuum pump, L/s; Vc is the cavity volume, L; and t is the effective pumping time, s. Using the initial conditions: t = 0, Pc = Pc0, integration yields


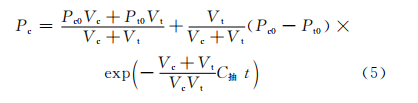
This formula is a commonly used formula for vacuum system calculations, in which the effective pumping speed of the vacuum pump is related to the theoretical pumping speed of the vacuum pump and the flow conductance of the vacuum pipeline [10]. The vacuuming process of the vacuum system used is shown in Figure 1, in which the negative pressure tank and the cavity are two containers connected in series. Before vacuuming the cavity, the vacuum pump first pumps the pressure in the negative pressure tank to the set value and then stops working. During the vacuuming process of the cavity by the negative pressure tank, the leakage of the mold and the vacuum pipeline is not considered, and the total amount of gas in the negative pressure tank and the cavity remains unchanged. According to the continuity of the gas, [10]:


Where Pt is the actual pressure of the vacuum tank, Pa; Vt is the volume of the vacuum tank, L; Cevacuation is the conductance of the vacuum pipe, L/s; and t is the effective vacuum time, s.

Figure 1 Schematic diagram of vacuum die casting vacuum process
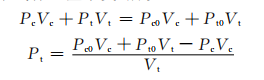
At t = 0, Pc = Pc0, and Pt = Pt0. Since the total amount of gas in the negative pressure tank and the cavity remains unchanged during this process, we can therefore:

Substituting into formula (4), we can get


1.2 Calculation model considering leakage
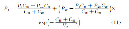
In studies of cavity venting during conventional die-casting filling, the parting surface, ejector pin, and other locations can be considered equivalent to vent channels [7, 12]. The magnitude of the airflow through these channels is related to the pressure difference between the two ends of the channel. During vacuum die-casting, there is a pressure difference between the cavity and the surrounding environment, and locations such as the mold parting surface, ejector pin, and injection punch can all become airflow channels. When the cavity pressure is lower than the external pressure, external gas enters the cavity through these channels. The airflow through a leakage channel can be expressed as:


Where Ci is the conductance of the leakage channel, L/s; Pam is the ambient air pressure, Pa.
The total amount of airflow entering the cavity from the outside is equal to the sum of the airflow entering from each channel, that is:

The leakage coefficient of the mold is equal to the sum of the conductances of each leakage channel:

Formula (6) can be expressed as:

Therefore, the change in cavity pressure is:

Its initial conditions are the same as those of formula (4). In addition, since the pressure change in the negative pressure tank is very small during the vacuuming process, in order to simplify the calculation process, it is approximately regarded as a constant. The integration of formula (10) yields:

When Pc0 = Pam, Equation (11) can be simplified as:


2 Experimental process and results
The experiment was conducted on a Yizumi 16500 kN (DM1650) cold-chamber die-casting machine, using a Haiwang HVH600/600-100SHR vacuum system equipped with a vacuum pump with a pumping rate of 33.3 L/s and a negative pressure tank with a volume of 1200 L. If the negative pressure tank is properly sealed, the tank pressure can be reduced to below 500 Pa. The vacuum line diameter is 21.6 mm. A filter cavity component vacuum casting mold (see Figure 2) was used. The mold is sealed with sealing strips, and the vacuum shut-off valve is hydraulically actuated. During the injection process, the valve's opening and closing time can be adjusted according to the forward displacement of the injection punch. After the mold is closed, the valve is closed. When the punch advances to the closed feed port, the valve opens, and vacuum pumping begins. When the punch reaches the appropriate position, the valve closes, and the vacuum pumping process ends. After the mold is installed, the total volume of the evacuated cavity is 12.67 L, of which the total volume of the mold cavity and pressure chamber is 9.17 L, and the volume of the evacuated vacuum pipeline is 3.5 L. The mold cavity pressure monitoring point is located at S1 in Figure 1, and the measurement accuracy of the vacuum pressure sensor used is 10 Pa.

(a) Moving mold (b) Fixed mold
Figure 2. Experimental vacuum die-casting mold
1. Sealing strip 2. Core pull 3. Vacuum line 4. Vacuum shutoff valve 5. Exhaust groove 6. Mold cavity
2.2 Test Method
Figure 3 is a schematic diagram of the cold shot test. Before pouring, the vacuum pump evacuates the negative pressure tank to negative pressure, then stops. After the mold is closed, the pressure chamber is clear of molten metal, and the punch advances, entering a low-speed phase. When the punch seals the feed port (l = 100 mm), the vacuum valve opens, and vacuum pumping begins. When the punch reaches the set position (l = 350 mm), the vacuum shutoff valve closes, and vacuum pumping ceases. The effective vacuum pumping time is 1.6 seconds. See Table 1 for die-casting process parameters.

Figure 3. Schematic diagram of the vacuum die casting injection and vacuum pumping process
Table 1. Vacuum pumping process parameters

2.3 Experimental Results
Equations (3), (5), and (12) were used to fit the collected cavity vacuum
pressure data. In the experiment, the total evacuated volume was Vc = 12.67 L, the negative pressure tank volume Vt = 1200 L, the initial cavity pressure Pc0 = 0.1 MPa, the pressure in the negative pressure tank was 0 at the start of vacuuming and 600 Pa at the end of vacuuming, and the external gas pressure Pam = 0.1 MPa.
The fitting results are shown in Figure 4, and the fitting parameters are shown in Table 2.

Figure 4. Fitting results of various formulas for cavity vacuum data.
Table 2. Fitting parameters of vacuum formulas.


3 Analysis and Discussion
3.1 Model Verification As shown in Figure 4 and Table 2, the fitting results of Equation (3) and Equation (5) are similar. In the latter half of the curve, both curves are significantly lower than the actual cavity pressure. Equation (12) with leakage is well-fitted to the actual cavity pressure, with a fitting correlation coefficient of 0.98964, which is highly correlated. In the latter half of the fitting curve, when the pressure in the cavity is low, Equations (3) and (5) deviate significantly from the actual cavity vacuum pressure. At t = 1.6 s, the vacuum pressure of the fitting curve of Equation (5) is 1110 Pa, which is close to the equilibrium pressure between the negative pressure tank and the cavity; the vacuum pressure of the fitting curve of Equation (3) is 90 Pa, both of which are lower than the actual cavity pressure. This shows that if the mold leakage is not considered, the calculated result will be lower than the actual cavity pressure, which is consistent with the research of WANG L H [7]. Equation (12) is highly consistent with the actual cavity pressure. This shows that Equation (12) can better reflect the changes in cavity pressure during the actual vacuuming process: in the early stage of vacuuming, the exhaust airflow is much greater than the airflow leaking into the cavity, and the cavity pressure drops rapidly; as the cavity pressure decreases, the pressure difference between the cavity and the negative pressure tank decreases, and the pressure difference between the outside and the cavity increases, resulting in a decrease in exhaust airflow and an increase in leakage airflow. Finally, the two reach equilibrium, and the cavity pressure no longer decreases. According to the fitting results of Equation (12) in Figure 4, for the vacuum system used, the flow conductance of the vacuuming pipeline is approximately 79.68 L/s, and the mold leakage coefficient is approximately 12.93 L/s.
3.2 Effective Vacuuming Rate
In Figure 4, the fitting curves of Equations (3) and (5) are relatively close, which shows that the cavity pressure change pattern is consistent when the vacuum tank vacuums the cavity and the vacuum pump directly vacuums the cavity. The maximum pumping speed of the vacuum pump used is 33.3 L/s, which is far less than the effective vacuum rate obtained by fitting Equation (3). When the vacuum pump directly evacuates the mold cavity, its pumping rate is limited by the maximum pumping speed. However, when a vacuum system is used in which a negative pressure tank is connected to the mold cavity, the pumping rate is limited only by the conductance of the vacuum pipe and the volume of the negative pressure tank. Therefore, by optimizing the design of the vacuum pipe, the pumping rate can be increased without increasing the power of the vacuum pump. Figure 5 shows the cavity pressure change curves when the vacuum pipe conductance is changed to achieve cavity pressures of 0.02 MPa and 0.005 MPa, respectively, while the cavity leakage coefficient remains unchanged. For general vacuum-assisted pressure casting [13], the cavity pressure is required to reach 0.02-0.03 MPa. The cavity pressure of the mold used in this experiment has met the requirement; however, for high vacuum die casting, the cavity pressure is required to be lower than 5000 Pa. Under the condition that the cavity leakage coefficient remains unchanged, the flow conductance of the vacuum pipe needs to be increased to 279.19 L/s to pump the cavity pressure to the ideal state.

Fig.5 Effect of C-pump on cavity vacuum pressure
3.3 Leakage Coefficient
Under no consideration of leakage, the negative pressure tank can quickly reduce the cavity pressure to a very low level. However, the vacuum pressure in actual experiments shows that after the cavity pressure drops to a certain level, the cavity pressure does not change much if the vacuuming time is extended. In another set of control experiments, the punch was left at the end of the injection process and the vacuuming time was extended to 64 seconds. The final cavity pressure was 10400 Pa, which is consistent with the result of Equation (12).
Figure 6 shows the cavity pressure change curves when the cavity leakage coefficient is changed while the vacuuming coefficient remains unchanged, and the cavity pressure reaches 0.02 MPa and 5000 Pa, respectively. For this mold, if the cavity pressure is to be lowered below 5000 Pa, the leakage coefficient must be below 3.7 L/s without changing the vacuuming system design. Therefore, high vacuum die casting places very high demands on the sealing performance of the mold.

Figure 6 Effect of C leak on cavity vacuum pressure
4 Conclusions
(1) Considering the influence of mold leakage, a calculation model for the change of cavity pressure during vacuum die casting was established. The fitting results with the experimental data show that the formula is consistent with the actual situation and well reflects the change law of pressure in the cavity. It can be used to calculate the cavity pressure of vacuum die casting.
(2) During the vacuum process, the initial exhaust airflow is much larger than the leakage airflow. At this time, the cavity pressure is mainly affected by the vacuum system exhaust efficiency, and the cavity pressure drops rapidly. As the cavity pressure decreases, the exhaust airflow decreases and the leakage airflow increases. Finally, the two reach a balance. The minimum pressure that the cavity can reach is determined by the vacuum system exhaust efficiency and the mold leakage coefficient.
(3) By fitting the new calculation model with the actual cavity pressure, the actual vacuum pipe conductance and mold leakage coefficient can be obtained, and the vacuum system exhaust efficiency and mold sealing can be evaluated.
References
[1] NOURI-BORUJERDIA, GOLDAKJA. Modelingofairventing Inpressure casting procedures[J]. JournalofManufactureSci-
ccceeeeeeengg, 2004, 126(3): 577-581.
[2] REIKHERA, GERBER H. Calculation of the die cast parts of the wall luminum die cast part [J]. Die Casting Engineering, 2011, 55 (4): 40-43.
[3] Hu Bo, Xiong Shoumei. Theoretical calculation and experimental study of vacuum pressure in vacuum die casting [J]. Foundry, 2007, 56 (3): 258-261.
[4] Hu Bo, Xiong Shoumei. Comparison of exhaust performance between high vacuum exhaust valve and thin-film channel exhaust valve in vacuum die casting [J]. Foundry, 2006, 55 (4): 355-359.
[5] Pan Huan. Development and application of high vacuum technology for aluminum alloy die casting [D]. Wuhan: Huazhong University of Science and Technology, 2008.
[6] Wu Mingfang, Long Siyuan, Zhu Shuqing, et al. Theoretical analysis of cavity exhaust in vacuum die casting process [J]. Special Casting and Nonferrous Alloys, 2014, 34(10): 1060-1062.
[7] Wang LH. Matrix metallurgical modelling in vacuum die casting process via CAST vacuum and other developing devices [J]. Internation-alJournalofCastMetalsResearch, 2007, 20(4): 191-197.
[8] WANGL, GERSHENZON M, NGUYENV, et al. Aninnovative deviceforvacuumandairventing[J]. CastExpo, 2010 (5): 16-19.
[9] WANG L, GERSHENZON M, NGUYEN V, et al. Air vacuum and metallurgical solutions with variable procedures of chemical structures [A]. 111th Metallurgical Construction [C]. Houston, Texas, 2007.
[10] Guo Hongzhen. Vacuum system design and calculation [M]. Beijing: Metallurgical Industry Press, 1986.
[11] Cui Suixian, Tan Zhixin, Liu Yukui. Common data tables for vacuum technology [M]. Beijing: Chemical Industry Press, 2012.
[12] ZHAO HD, BAIYF, OUYANGXX, et al. Simulation of mold filingandpredictionofgasentr apmentonpracticalhighpressure diecastings[J]. TransactionsofNoferrous Metals Society of China, 2010, 20(11): 2064-2070.
[13] UCHIDA M. Developing the method of casting procedures[J].
China Foundry, 2009, 6 (2): 137-144.
